Аксессуар для серверного оборудования Intel 2U AIR DUCT FCPDUCTSTD_99AN39
Условия передачи
Описание
Характеристики
Рекомендации для вас
Постоянное предложение, поштучно
Регулируемая шарнирная опора D80, М8х80г Электросталь, пер Строительный449 руб.Постоянное предложение, поштучно
Воздуховод круглый пластиковый d150 мм х 2 мРоссия, Республика Татарстан630 руб.Постоянное предложение, поштучно
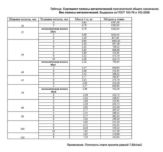
Металлическая полоса оцинкованная 40х4 ммРоссия, ЯрославльПо запросу







